En los confines más extremos del universo, hay sucesos capaces de deformar el propio tejido del espacio-tiempo. Entre ellos, las colisiones de agujeros negros son eventos de una energía inimaginable. Hasta ahora, la atención se había centrado en las ondas gravitacionales como la principal huella observable de estas fusiones. Sin embargo, un nuevo estudio teórico propone que podrían esconder un fenómeno mucho más exótico: la creación de diminutos agujeros negros que, antes de desintegrarse, emitirían radiación detectable desde la Tierra.
Publicada en la revista Nuclear Physics B, esta investigación retoma una propuesta hecha por Stephen Hawking en los años 70 y sugiere que la radiación que predijo podría ser observada de forma indirecta gracias a estos pequeños objetos, apodados black hole morsels o. No hay traducción formal, aunque proponemos “fragmentos de agujero negro” (morsels es inglés hace referencia a trocitos pequeño de comida, como una pieza fragmentada de pan). Según el equipo, su detección abriría una puerta experimental única para explorar la física cuántica de la gravedad, algo fuera del alcance incluso de los aceleradores de partículas más potentes.
El origen de la idea de Hawking
En 1974, Stephen Hawking revolucionó la comprensión de los agujeros negros al demostrar que no eran completamente oscuros. Sus cálculos indicaban que, por efectos cuánticos cercanos al horizonte de sucesos, podían emitir radiación térmica y perder masa con el tiempo. Este fenómeno, conocido como radiación de Hawking, implicaba que, si el proceso se mantenía, un agujero negro acabaría evaporándose por completo.
Una característica esencial de esta radiación es que la temperatura de un agujero negro disminuye cuanto mayor es su masa. Los grandes, como los supermasivos que habitan el centro de las galaxias, son demasiado fríos para que su radiación pueda detectarse con la tecnología actual. Sin embargo, los agujeros negros pequeños pueden alcanzar temperaturas muy altas, emitiendo rayos gamma y otras partículas de alta energía que sí serían observables.
Esta predicción fascinante nunca ha sido confirmada de forma directa. Durante décadas, los esfuerzos se han centrado en buscar signos de agujeros negros primordiales —formados poco después del Big Bang— que estarían evaporándose en la actualidad. El nuevo trabajo introduce otra vía: que estos objetos podrían formarse ahora mismo durante la fusión de agujeros negros astrofísicos.

Qué son los black hole morsels
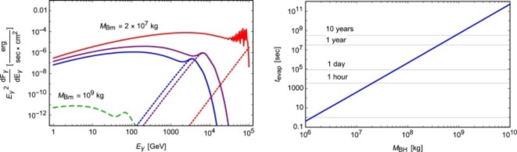
El estudio, firmado por Giacomo Cacciapaglia, Stefan Hohenegger y Francesco Sannino, describe cómo las condiciones extremas de una colisión entre agujeros negros podrían generar, de forma transitoria, pequeños fragmentos independientes con horizonte de sucesos propio. Estos serían los black hole morsels.
En palabras de Cacciapaglia, citadas literalmente del artículo, “son mucho más pequeños —comparables en masa a asteroides— y, por lo tanto, mucho más calientes debido a la relación inversa entre la masa del agujero negro y la temperatura de Hawking”. Esta temperatura elevada implica que su evaporación sería rápida, liberando en poco tiempo enormes cantidades de energía en forma de radiación de muy alta frecuencia.
El resultado sería una breve pero intensa emisión de rayos gamma y neutrinos que podría detectarse con los instrumentos adecuados. A diferencia de las explosiones de rayos gamma típicas, estas no estarían concentradas en un haz, sino que se emitirían en todas direcciones.

Señales y detección posible
Uno de los aspectos más interesantes del estudio es la predicción de un patrón temporal específico en las señales. Los autores señalan que un black hole morsels generaría un estallido de rayos gamma con un retraso respecto a la detección de las ondas gravitacionales producidas por la fusión principal. Ese retraso depende directamente de la masa del objeto: cuanto menor sea, antes se evaporará y antes llegará la señal.
Esta firma distintiva permitiría diferenciar los morsels de otras fuentes de alta energía en el cosmos. Además, según los cálculos, las señales estarían dentro del rango de sensibilidad de observatorios actuales como el High Energy Stereoscopic System (HESS) en Namibia, el High-Altitude Water Cherenkov Observatory (HAWC) en México, el Large High Altitude Air Shower Observatory (LHAASO) en China o el satélite Fermi Gamma-ray Space Telescope.
El equipo no se limitó a la teoría. Utilizó datos de HESS y HAWC para establecer los primeros límites observacionales a la masa total que podría emitirse en forma de morsels durante fusiones conocidas. Este enfoque, según indican, representa “las primeras restricciones observacionales” sobre este tipo de fenómeno.

Implicaciones para la física
La confirmación de estos objetos tendría consecuencias enormes. La radiación de Hawking codifica información sobre la estructura cuántica del espacio-tiempo, y medirla permitiría poner a prueba teorías más allá de la relatividad general. Esto incluye modelos que proponen nuevas partículas o incluso dimensiones adicionales.
Sannino señala en el paper que las propiedades espectrales de esta radiación podrían revelar desviaciones respecto al Modelo Estándar en escalas de energía muy superiores a las alcanzables en laboratorio. Para ponerlo en perspectiva, estas fusiones de agujeros negros funcionarían como aceleradores de partículas naturales, mucho más potentes que el Gran Colisionador de Hadrones (LHC) del CERN.
Los siguientes pasos
A pesar del atractivo de la hipótesis, los autores admiten que hay incertidumbres significativas. No se conocen con detalle las condiciones exactas que permitirían la formación de black hole morsels, y todavía no se han realizado simulaciones completas a la escala necesaria para modelarlos.
Los planes inmediatos incluyen mejorar los modelos teóricos, considerar distribuciones de masa y rotación más realistas, y ampliar el análisis a catálogos más amplios de observaciones. La colaboración con astrónomos será clave para buscar señales tanto en archivos de datos como en observaciones futuras.
Hohenegger resume el objetivo a largo plazo: “Esperamos que esta línea de investigación abra una nueva ventana para entender la naturaleza cuántica de la gravedad y la estructura del espacio-tiempo”. Si los black hole morsels existen, no solo iluminarían el cielo con radiación exótica, sino que también podrían ofrecer respuestas a algunas de las preguntas más profundas de la física.
Referencias
- Cacciapaglia, G., Hohenegger, S., & Sannino, F. (2025). Looking for black hole morsels in astrophysical mergers via Hawking radiation. Nuclear Physics B, 1018, 117021. https://doi.org/10.1016/j.nuclphysb.2025.117021.
 
	
			 
						 
	
	 
	
	 
	
	