A solo 39 años luz de la Tierra, una estrella muerta ha revelado una historia que contradice lo que los astrónomos creían saber sobre la vida y muerte de las estrellas. WD 0525+526 parecía, a simple vista, una enana blanca corriente, uno de esos cuerpos celestes que marcan la fase final de la evolución estelar. Sin embargo, el Telescopio Espacial Hubble ha destapado un detalle insospechado: en su atmósfera se esconde carbono, una pista química que apunta a un origen mucho más violento. Este hallazgo, fruto de un trabajo publicado en Nature Astronomy, no solo aporta una pieza clave para entender ciertos objetos raros, sino que podría cambiar la forma en que clasificamos y comprendemos las enanas blancas. De hecho, no es el único evento extraordinario sobre enanas blancas que se descubre en 2025.
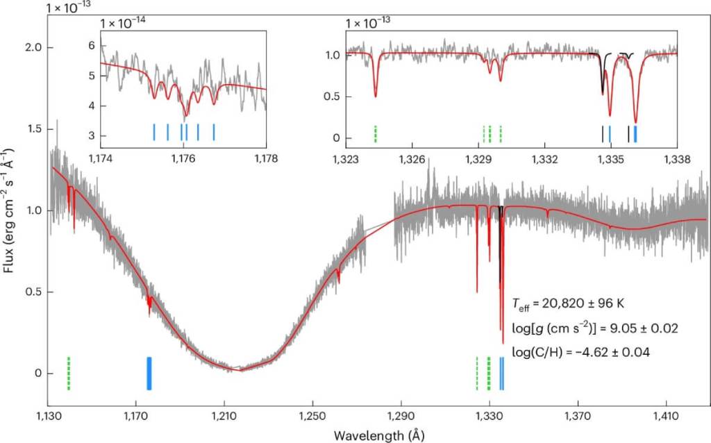
El equipo científico, liderado por Snehalata Sahu y Antoine Bédard, no se topó con este resultado por azar. Usando espectroscopia ultravioleta de alta precisión, identificaron en WD 0525+526 una proporción de carbono extremadamente baja, pero detectable solo en estas longitudes de onda. "La abundancia de carbono (log(C/H) = −4.62) es entre 4 y 5 órdenes de magnitud menor que la de los seis casos conocidos, y por lo tanto solo detectable en el ultravioleta", señalan los autores en el artículo. Este dato, que no habría aparecido en observaciones ópticas, revela que la estrella es un remanente de fusión, el producto de la colisión entre dos astros.
El contexto de las enanas blancas y la rareza de WD 0525+526
Las enanas blancas son el núcleo residual de estrellas que no tienen suficiente masa para explotar como supernovas de colapso de núcleo. Tras agotar el hidrógeno en su interior, estas estrellas expulsan sus capas externas, dejando un núcleo extremadamente denso, del tamaño aproximado de la Tierra pero con hasta 1,4 veces la masa del Sol. La mayoría posee atmósferas dominadas por hidrógeno o helio, que ocultan elementos más pesados como el carbono y el oxígeno.
En este escenario general, WD 0525+526 destaca por varios motivos. Su masa es de 1,20 ± 0,01 masas solares y su temperatura efectiva alcanza los 20 820 ± 96 K, lo que la sitúa en el grupo de enanas blancas ultramasivas. Estas estrellas son poco frecuentes y, según explican los autores, un porcentaje significativo podría ser el resultado de fusiones estelares. El problema es que identificarlas no es sencillo, ya que la señal química de ese pasado violento suele quedar oculta por las capas externas de la atmósfera.

Lo que revela la luz ultravioleta
La clave del hallazgo fue el Cosmic Origins Spectrograph (COS) a bordo del Hubble, un instrumento capaz de analizar el espectro ultravioleta lejano. En el caso de WD 0525+526, el espectro óptico no mostraba rastro de carbono ni helio, pero el ultravioleta sí lo hizo. Las líneas más fuertes correspondían a transiciones de C II y C III, confirmando que la señal era de origen fotosférico y no del medio interestelar.
“La detección de carbono en WD 0525+526 fue posible únicamente gracias a la espectroscopia de Hubble”, afirman los investigadores. Esto demuestra que el ultravioleta es fundamental para descubrir remanentes de fusiones que podrían pasar inadvertidos en el rango visible, ampliando el censo de este tipo de objetos.

Una atmósfera estable y el papel de la semiconvección
Uno de los aspectos más intrigantes es que WD 0525+526 tiene una atmósfera de hidrógeno estable a la convección, a diferencia de otras enanas blancas con atmósferas mezcladas que exhiben más carbono. Los modelos desarrollados por el equipo indican que la estrella presenta una fina capa de hidrógeno sobre una zona de semiconvección. Este proceso, que inhibe la mezcla total de materiales por la presencia de gradientes de composición, permite que solo pequeñas cantidades de carbono asciendan hasta la superficie.
Este resultado es relevante porque la masa total de hidrógeno (10-13,8 de la masa estelar) y la de helio son mucho menores que las esperadas para la evolución de una sola estrella. El déficit es coherente con un escenario de fusión, donde el choque y el posterior quemado termonuclear eliminan gran parte de estos elementos ligeros. La consecuencia es que WD 0525+526 no solo es más caliente y más masiva que otras enanas blancas de su clase, sino también más pobre en elementos ligeros residuales.

Un vínculo con la población de la Q-branch
En el diagrama de Hertzsprung–Russell, WD 0525+526 se encuentra en la llamada Q-branch, una región donde algunas enanas blancas muestran una desaceleración en su enfriamiento debida a procesos de cristalización en su núcleo. Las ultramasivas de esta zona presentan velocidades espaciales inusuales y edades cinemáticas que no encajan con la evolución típica de estrellas aisladas. Este comportamiento ha sido interpretado como una señal de que muchas de ellas proceden de fusiones estelares.
El estudio confirma que WD 0525+526 pertenece a la subclase DAQ, con atmósferas de hidrógeno y carbono. Es el ejemplar más caliente y cercano de esta categoría, y con la menor abundancia de carbono medida. Esto lo convierte en una pieza clave para entender la diversidad y el origen de las DAQ, así como su conexión con eventos de fusión.
Descifrando su pasado y futuro
Según los autores, en etapas anteriores WD 0525+526 probablemente tuvo una atmósfera dominada por carbono, semejante a la de la estrella pre-enana blanca H1504+65. Con el enfriamiento, el hidrógeno residual flotó hacia la superficie, formando la capa que hoy vemos. En el futuro, a medida que siga enfriándose, la convección superficial podría mezclar nuevamente el carbono hacia fuera, transformándola en una enana blanca tipo DQ.
No obstante, este cambio tardará miles de millones de años, ya que el proceso de destilación del isótopo ²²Ne ralentiza su enfriamiento. De este modo, WD 0525+526 permanecerá durante mucho tiempo como un raro testimonio de lo que ocurre cuando dos estrellas mueren de forma conjunta.
Implicaciones más amplias
Este hallazgo refuerza la hipótesis de que muchas enanas blancas que parecen normales podrían ser en realidad productos de fusión. Si es así, el papel de las fusiones en la evolución estelar y en fenómenos como las supernovas termonucleares podría estar subestimado. El equipo ya planea extender la búsqueda a otras estrellas candidatasusando espectroscopia ultravioleta, con el objetivo de estimar cuán frecuente es este camino evolutivo.
Como concluyen en el artículo, “nuestro estudio destaca la importancia de la espectroscopia ultravioleta para identificar y caracterizar remanentes de fusión”, una herramienta que podría reescribir parte de la astrofísica de enanas blancas y sistemas binarios.
Referencias
- Sahu, S., Bédard, A., Gänsicke, B. T., Tremblay, P.-E., Koester, D., Farihi, J., Hermes, J. J., Hollands, M. A., Cunningham, T., & Redfield, S. (2025). A hot white dwarf merger remnant revealed by an ultraviolet detection of carbon. Nature Astronomy. https://doi.org/10.1038/s41550-025-02590-y.
 
	
			 
						 
	
	 
	
	 
	
	