El estudio de las colisiones entre iones y moléculas permite comprender fenómenos fundamentales de la física atómica y molecular, además de tener aplicaciones prácticas en áreas como la energía de fusión o la litografía ultravioleta extrema (EUV). Un caso especialmente interesante es el comportamiento de los iones de estaño (Sn) en los plasmas utilizados como fuente de luz EUV. Estos plasmas no solo emiten radiación útil, sino también iones altamente cargados que pueden dañar componentes sensibles, como los espejos del sistema óptico. Para evitarlo, se introduce gas de hidrógeno (H₂), que reduce la carga de los iones mediante procesos de captura electrónica.
En este trabajo se ha investigado la captura doble de electrones (DEC) por parte de iones Sn³⁺ en colisiones con moléculas de H₂ a bajas energías. De forma sorprendente, se han observado secciones eficaces (cross sections) inusualmente grandes para estas energías, lo que contradice las expectativas teóricas. A partir de simulaciones cuánticas y medidas experimentales, se propone un mecanismo de captura en dos etapas que permite explicar este fenómeno. Este trabajo demuestra la importancia de ir más allá de la aproximación de Franck-Condon, y ofrece un marco más preciso para interpretar procesos similares en otras moléculas.
La importancia del estaño en plasmas tecnológicos
El plasma de estaño ha cobrado protagonismo en la investigación aplicada, especialmente por su papel en las fuentes de luz EUV utilizadas en litografía avanzada. Estas fuentes generan radiación a 13,5 nanómetros, ideal para fabricar circuitos integrados a escala nanométrica. Sin embargo, el mismo plasma también emite iones de Sn múlticargados con alta energía, lo que representa un riesgo para los componentes del sistema. Para contener este flujo de iones, se introduce gas H₂, que actúa como freno mediante procesos de captura electrónica.
En este entorno, dos procesos electrónicos permiten reducir la carga de los iones de Sn: la captura simple de electrones (SEC) y la captura doble (DEC). Aunque la SEC ha sido más estudiada, la DEC permite transformar directamente Sn³⁺ en Sn⁺, un ion menos dañino. Esto es especialmente relevante porque se ha observado que los iones Sn⁺ se frenan más rápido que los de Sn²⁺ a energías superiores a 3 eV/u, lo que mejora la contención del plasma.

Una observación inesperada
En general, las reacciones de captura de dos electrones (DEC) son poco probables a bajas energías, especialmente cuando son endotérmicas, es decir, cuando requieren un aporte de energía. En el caso de Sn³⁺ + H₂, la transferencia simultánea de dos electrones tiene un coste energético mínimo de 6 eV, lo que lleva a suponer que las secciones eficaces deberían ser pequeñas, del orden de 10⁻¹⁷ cm². Sin embargo, las mediciones realizadas han mostrado valores mucho mayores, cercanos a 10⁻¹⁵ cm², y además, una dependencia inversa con la energía: la DEC aumenta conforme disminuye la energía cinética del ion.
Esta anomalía indica que el proceso no puede explicarse mediante los modelos estándar. Para resolverla, se ha propuesto un nuevo mecanismo de transferencia, denominado mecanismo secuencial sincrónico, en el que la captura ocurre en dos pasos, y el segundo requiere una sincronización precisa entre dos movimientos: el avance del ion y la vibración inducida en la molécula.
El mecanismo secuencial sincrónico
En primer lugar, Sn³⁺ captura un electrón de H₂ cuando aún está a una distancia relativamente grande. Este paso inicial genera un ion H₂⁺ con una distancia internuclear alejada de su valor de equilibrio. Como resultado, el ion molecular comienza a estirarse, mientras Sn²⁺ sigue avanzando en su trayectoria. La repulsión coulombiana del Sn²⁺ sobre los núcleos del H₂⁺ contribuye a que estos se separen aún más y, en un segundo paso, el electrón restante en el H₂⁺ es capturado cuando el ion Sn²⁺ está más cerca y la molécula ya se ha deformado, reteniendo débilmente ese electrón.
Este mecanismo exige la sincronización de dos movimientos: el avance del ion proyectil y la vibración inducida en la molécula blanco. Esta coordinación es clave para que el proceso ocurra de forma eficiente. De hecho, en este segundo paso ya no se puede aplicar la aproximación de Franck-Condon, que asume que la geometría molecular no cambia durante la transición electrónica.

Confirmación experimental y simulación cuántica
Las secciones eficaces de DEC se han determinado en el laboratorio mediante un haz de iones Sn³⁺ dirigido contra un chorro de gas H₂. El análisis de los estados de carga resultantes permitió extraer los valores experimentales, corregidos por colisiones secundarias y calibrados con sistemas conocidos.
Además, se ha llevado a cabo una simulación basada en la ecuación de Schrödinger dependiente del tiempo (TDSE), que describe la evolución de un paquete de ondas vibracional. Para ello, se utilizaron superficies de energía potencial obtenidas mediante cálculos ab initio, y se simuló la dinámica molecular en una malla numérica. Los resultados teóricos coinciden bien con los datos experimentales y reproducen tanto la magnitud como la dependencia energética observada.
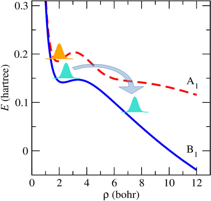
Diferencias entre representaciones simétricas
Durante la simulación se han identificado contribuciones distintas de los estados electrónicos con simetría A₁ y B₁. En particular, la componente B₁ permite una propagación más efectiva del paquete de ondas hacia estados disociativos que conducen a la DEC. En cambio, la componente A₁ tiende a quedar atrapada en un pozo de potencial más profundo, lo que reduce su probabilidad de transición.
Este comportamiento diferencial enfatiza la necesidad de considerar varios estados electrónicos de diferentes simetrías en el modelado del proceso, y no limitarse a una sola curva potencial.

Efectos dinámicos y sensibilidad a parámetros
Las simulaciones muestran que la eficiencia de la DEC depende de la distancia a la que ocurre la captura del primer electrón, que se sitúa aproximadamente a 8 bohr para el sistema Sn³⁺ + H₂. Si este punto varía, también cambia el tiempo disponible para que la molécula se estire y el ion alcance la zona de interacción. A mayor distancia inicial, la DEC se produce a energías más bajas; si ocurre más cerca, se requieren energías más altas.
Otro parámetro sensible es la energía del proyectil. A 10 eV/u, la propagación del paquete de ondas alcanza de forma eficiente la zona de cruce entre las superficies de energía potencial SEC y DEC. Sin embargo, a 40 eV/u, el proyectil avanza más rápido, y el paquete de onda no llega a tiempo de alcanzar la región efectiva de interacción. La velocidad de propagación del paquete de ondas también depende de la masa de los núcleos moleculares, ya que núcleos más pesados se mueven más lentamente.

Implicaciones y perspectivas futuras
El mecanismo secuencial sincrónico no solo explica los datos experimentales actuales, sino que también ofrece un marco útil para estudiar otros sistemas. En moléculas como D₂, que tienen mayor masa reducida, la vibración es más lenta, lo que exigiría ajustar la energía del proyectil para lograr una eficiencia comparable.
Además, en sistemas donde el primer electrón se pierde desde un orbital antienlazante, el paquete de ondas evolucionará en dirección opuesta, es decir, el ion molecular comenzará su dinámica contrayéndose, lo que modificaría por completo la dinámica de captura. Estos casos abren nuevas vías para explorar mecanismos complejos en colisiones iónicas y podrían conducir a una comprensión más profunda de los procesos de transferencia electrónica en medios moleculares.
Referencias
- Lamberto Oltra, Luis Méndez, Ismanuel Rabadán, Klaas Bijlsma, Emiel de Wit, Ronnie Hoekstra. Sequential Synchronous Mechanism for Double-Electron Capture: Insights into Unforeseen Large Cross Sections in Low-Energy Sn3++H2 Collisions. Physical Review Letters 134, 093002 (2025). doi: 10.1103/PhysRevLett.134.093002

Ismanuel Rabadán Romero
Doctor en Ciencias (Química)
