A simple vista, un imán de nevera puede parecer un objeto sin mayor misterio. Lo usamos a diario para sujetar notas o fotografías, sin pensar en el poder invisible que ejerce. Ahora bien, ¿qué tienen que ver estos modestos imanes con el origen del universo? Mucho más de lo que parece. Un equipo internacional de astrofísicos ha descubierto que el universo primitivo también estaba atravesado por campos magnéticos, pero tan increíblemente débiles que su intensidad era similar a las señales eléctricas emitidas por el cerebro humano. Y, aun así, dejaron una huella observable en las estructuras cósmicas actuales.
Este hallazgo se basa en un estudio reciente publicado en Physical Review Letters, en el que se emplearon más de 250.000 simulaciones hidrodinámicas para analizar los efectos de los campos magnéticos primordiales en el “bosque Lyman-alfa”, una huella que deja el hidrógeno neutro entre galaxias. El análisis ha permitido establecer límites mucho más precisos —y conservadores— sobre la fuerza de estos campos. El resultado más sólido apunta a un valor de 0,2 nanogauss, lo que representa un campo magnético miles de millones de veces más débil que un simple imán doméstico.
¿Qué son los campos magnéticos primordiales?
Los campos magnéticos primordiales (PMF, por sus siglas en inglés) son restos del universo temprano, posiblemente formados durante las primeras fracciones de segundo tras el Big Bang. Aunque su origen exacto es incierto, se cree que podrían haber surgido durante procesos como la inflación cósmica o transiciones de fase que alteraron las condiciones físicas del cosmos naciente.
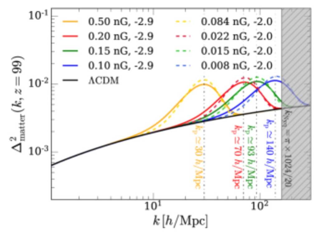
Estos campos, aunque débiles, habrían influido en la formación de estructuras a pequeña escala, al ejercer una fuerza de Lorentz sobre el plasma bariónico, induciendo perturbaciones que posteriormente guiarían la distribución de la materia oscura. En palabras del estudio, “la divergencia de la fuerza de Lorentz [...] directamente genera perturbaciones en el fluido bariónico”.
Es importante destacar que este fenómeno se analiza en términos de espectro de potencia, una herramienta que permite estudiar cómo se distribuyen las perturbaciones según su escala. En este caso, el equipo analizó cómo los campos magnéticos aumentan el poder del espectro en determinadas longitudes de onda, lo que se traduce en más estructura a escalas pequeñas, una firma detectable en observaciones muy precisas.

La clave: el bosque Lyman-alfa
Uno de los aspectos más innovadores del estudio fue el uso del bosque Lyman-alfa, un conjunto de líneas de absorción en el espectro de luz de los quásares, producido por hidrógeno neutro intergaláctico. Estas líneas son sensibles a la distribución del gas en el medio intergaláctico y, por lo tanto, a cualquier alteración causada por campos magnéticos en el universo primitivo.
A diferencia de otras técnicas, el bosque Lyman-alfa permite sondear regiones lejanas de baja densidad, lejos del entorno directo de las galaxias, donde los campos magnéticos generados por procesos astrofísicos son mínimos. Esto convierte al bosque en un laboratorio ideal para estudiar los campos magnéticos cósmicos primigenios, libres de “contaminación” de fuentes más recientes.
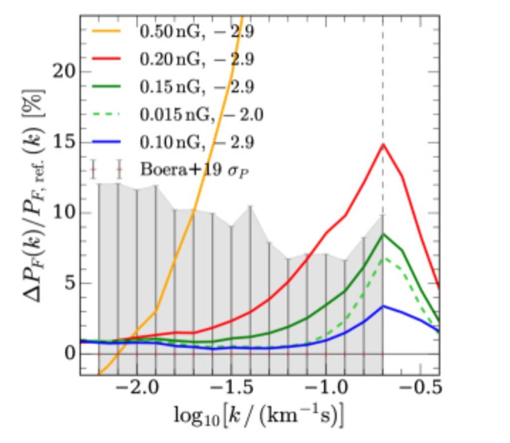
Según el artículo, “el poder extra inducido por los campos magnéticos primordiales es muy prominente también en el nivel del poder del flujo 1D, y su magnitud y dependencia de escala puede compararse visualmente con los errores estadísticos de los datos” . En otras palabras, la huella de estos campos puede observarse en cómo varía la intensidad del bosque Lyman-alfa a diferentes escalas, una herramienta clave en el estudio.

Simulaciones sin precedentes: más de 250.000 modelos
Para analizar el impacto de los campos magnéticos, el equipo científico empleó simulaciones hidrodinámicas de última generación desarrolladas con el código P-Gadget3, modificadas para incorporar condiciones iniciales con diferentes intensidades de campo. Cada modelo fue ajustado a distintas historias térmicas y de reionización, y se simularon combinaciones que cubren un rango muy amplio de posibles escenarios cosmológicos.
Estas simulaciones se compararon con datos reales obtenidos con los espectrógrafos UVES (VLT) y HIRES (Keck), cuya resolución extremadamente alta permitió capturar el bosque Lyman-alfa en detalle entre z = 4,2 y z = 5,0, un periodo clave del universo temprano. El resultado fue contundente: “un modelo estándar del universo con un campo magnético muy débil de alrededor de 0,2 nanogauss se ajusta mucho mejor a los datos experimentales”.
Este trabajo no solo representa un avance técnico, sino que también supera en precisión a las restricciones anteriores obtenidas con los datos del fondo cósmico de microondas (CMB). De hecho, se mejora el límite superior de la intensidad de los campos primordiales en un factor de tres respecto a estudios previos que combinaban CMB e historia de ionización.

¿Una detección o un límite conservador?
Una parte del debate gira en torno a si lo observado es una detección real de estos campos o simplemente un límite superior más preciso. En el análisis estadístico (MCMC), el modelo con campos magnéticos muestra una mejora significativa del ajuste (∆χ² = −12.2) con solo un parámetro extra. Sin embargo, al aplicar un modelo más conservador del ruido de los datos, la señal desaparece y se impone un límite superior de B < 0,3 nanogauss, con un nivel de confianza del 99,7%.
Esto indica que, aunque la existencia de campos magnéticos primordiales débiles es compatible con los datos, aún no se puede confirmar su detección directa. Lo que sí es seguro es que el estudio establece el límite más estricto hasta la fecha, muy por encima de lo que era posible con técnicas anteriores.
Otro punto interesante es que incluso si se eliminan los datos de menor escala —los más sensibles al ruido— los límites obtenidos siguen siendo muy competitivos, lo que refuerza la solidez del resultado.
Implicaciones para la formación de galaxias
El efecto de estos campos magnéticos no se limita a una curiosidad cosmológica. En realidad, podrían haber acelerado la formación de galaxias y estrellas en el universo temprano, al aumentar la densidad del medio intergaláctico. Según el equipo, “esto tendría un impacto medible en la interpretación de las funciones de luminosidad de galaxias a alto corrimiento al rojo, tal como las observa el telescopio James Webb”.
La presencia de estos campos, por leve que sea, podría cambiar nuestra comprensión de cómo surgieron las primeras galaxias y cómo interactuaron con el entorno cósmico. Además, modelos teóricos que buscan explicar estructuras pequeñas en el universo también deberán incorporar este nuevo límite como una restricción importante.
Por ahora, la única forma de avanzar es mejorar las observaciones a pequeña escala del bosque Lyman-alfa, con espectrógrafos aún más precisos, como ESPRESSO. Esto permitiría reducir el ruido, incrementar la sensibilidad, y quizás —solo quizás— detectar de forma inequívoca estos campos invisibles que acompañaron al universo en sus primeros instantes.
Referencias
- Mak Pavičević, Vid Iršič, Matteo Viel, James S. Bolton, Martin G. Haehnelt, Sergio Martin-Alvarez, Ewald Puchwein, Pranjal Ralegankar. Constraints on Primordial Magnetic Fields from the Lyman-α forest. Physical Review Letters. DOI: 10.1103/PhysRevLett.135.121302.