Los teoremas matemáticos son como faros que iluminan el camino hacia la comprensión profunda de la realidad. En su esencia, un teorema es una proposición que ha sido rigurosamente demostrada y establecida como verdadera. Esta definición, aunque aparentemente simple, da lugar a un fascinante viaje a través de la lógica y el razonamiento deductivo.
Definición e importancia de los teoremas matemáticos
Los teoremas matemáticos son proposiciones que, tras un proceso de demostración lógica, se establecen como verdades dentro del ámbito matemático. Su importancia radica en que sirven como base para el desarrollo de teorías más complejas, actuando como pilares sobre los cuales se construyen estructuras matemáticas más grandes. La palabra "teorema" tiene sus raíces en el griego, donde significa "algo contemplado", reflejando la profunda meditación y análisis que implica su demostración. En matemáticas, un teorema no solo debe ser verdadero, sino también significativo, aportando valor al cuerpo de conocimiento existente.
Los teoremas se diferencian de otras proposiciones matemáticas en que requieren una demostración rigurosa y, una vez establecida, su validez es universal dentro del contexto de los axiomas y reglas lógicas en los que se basa. Esto los convierte en herramientas poderosas y confiables para los matemáticos, quienes los utilizan para derivar nuevas conclusiones y resolver problemas complejos. Además, los teoremas son fundamentales no solo en matemáticas, sino también en otras ciencias exactas y formales, donde su aplicación puede extenderse a campos como la física, la economía y la informática.
La demostración de un teorema es un proceso que sigue estrictas reglas lógicas y se basa en axiomas previamente aceptados. Este proceso asegura que las conclusiones alcanzadas sean irrefutables dentro del sistema en el que se formulan. La capacidad de un teorema para ser demostrado a partir de premisas lógicas es lo que le confiere su poder y universalidad. En este sentido, los teoremas son no solo resultados matemáticos, sino también testimonios de la capacidad humana para comprender y formalizar aspectos de la realidad a través del lenguaje matemático.
Diferencias y relaciones en la terminología matemática

Diferencia entre teoremas, lemas y corolarios
En el mundo matemático, la terminología utilizada es crucial para comprender la jerarquía y la interrelación entre diferentes proposiciones. Un teorema, como hemos visto, es una proposición demostrada que tiene una importancia considerable. Sin embargo, en el proceso de demostrar un teorema, a menudo se utilizan lemas. Un lema es una proposición que se demuestra con el propósito de ayudar en la demostración de un teorema más amplio. Aunque en ocasiones un lema puede ser tan significativo que se eleva al estatus de teorema independiente, como el lema de Zorn, su función principal es servir como herramienta en el desarrollo de argumentos más complejos.
Los corolarios, por otro lado, son proposiciones que se derivan de manera inmediata de un teorema. Una vez que un teorema ha sido demostrado, cualquier afirmación que pueda deducirse fácilmente de él se considera un corolario. Esto significa que los corolarios no requieren una demostración independiente, ya que su validez depende directamente del teorema del que se derivan. Así, mientras que los lemas son pasos intermedios hacia la demostración de teoremas, los corolarios son consecuencias directas de ellos.
La distinción entre teoremas, lemas y corolarios no solo es una cuestión de semántica, sino que refleja la estructura lógica de las matemáticas. Esta jerarquía permite a los matemáticos organizar sus pensamientos y argumentos de manera clara y eficiente. Al comprender estas diferencias, se puede apreciar mejor cómo se construyen y se interrelacionan las teorías matemáticas, facilitando el avance del conocimiento en esta disciplina.
Concepto de proposiciones y su relación con teoremas
Las proposiciones son declaraciones matemáticas que pueden ser verdaderas o falsas, pero no necesariamente han sido demostradas. En el contexto de los teoremas, las proposiciones juegan un papel fundamental, ya que son los bloques de construcción a partir de los cuales se desarrollan teoremas complejos. Aunque algunas proposiciones pueden ser consideradas como teoremas cuando son demostradas, no todas alcanzan esta categoría. La distinción radica en el interés y la importancia que una proposición tiene dentro de la comunidad matemática.
Una proposición puede existir de manera independiente, aportando valor al conocimiento matemático sin estar directamente relacionada con un teorema en particular. Sin embargo, en muchos casos, las proposiciones son pasos intermedios en el camino hacia la formulación y demostración de teoremas más amplios. De esta manera, las proposiciones enriquecen el tejido matemático, proporcionando puntos de partida para la exploración y el descubrimiento.
La relación entre proposiciones y teoremas es, por lo tanto, una de dependencia y contribución mutua. Mientras que los teoremas ofrecen conclusiones sólidas y demostradas, las proposiciones amplían el horizonte de posibilidades, permitiendo a los matemáticos explorar nuevas ideas y enfoques. Esta dinámica es esencial para el progreso de las matemáticas, ya que fomenta la creatividad y la innovación dentro de un marco lógico y estructurado.
Conjeturas e hipótesis en matemáticas
Las conjeturas y las hipótesis representan el lado especulativo y exploratorio de las matemáticas. Una conjetura es una afirmación que se cree verdadera pero que aún no ha sido demostrada. Las conjeturas son fundamentales para el avance de las matemáticas, ya que plantean preguntas abiertas que desafían a los matemáticos a encontrar soluciones y demostraciones. Un ejemplo famoso es la conjetura de Goldbach, que sugiere que todo número par mayor que dos puede expresarse como la suma de dos números primos.
Las hipótesis, por otro lado, son suposiciones iniciales que se utilizan como base para desarrollar teorías y demostraciones. En el contexto de un teorema, una hipótesis es una condición que debe cumplirse para que el teorema sea aplicable. Las hipótesis son esenciales para delimitar el alcance de un teorema y para establecer el contexto en el que sus conclusiones son válidas. Un ejemplo notable es la hipótesis de Riemann, una de las preguntas más importantes y no resueltas en matemáticas, que trata sobre la distribución de los ceros de la función zeta de Riemann.
La interacción entre conjeturas, hipótesis y teoremas es un motor impulsor del progreso matemático. Mientras que las conjeturas plantean nuevos desafíos y direcciones de investigación, las hipótesis proporcionan el marco necesario para desarrollar y probar teoremas. Juntas, estas entidades fomentan un ciclo continuo de descubrimiento, demostración y refinamiento que es característico de la evolución de las matemáticas.
Ejemplos de teoremas matemáticos fundamentales
Teorema de Pitágoras: Relevancia en geometría
Uno de los teoremas más conocidos es el teorema de Pitágoras, que establece la relación fundamental entre los lados de un triángulo rectángulo. El enunciado más extendido es: el cuadrado de la hipotenusa es igual a la suma de los cuadrados de los catetos. Se le atribuye al antiguo matemático griego Pitágoras, aunque se han encontrado tablas babilónicas que demuestran que ya se conocía la relación dos mil años antes. Este resultado, aunque simple en su enunciado, tiene profundas implicaciones en geometría y trigonometría, siendo esencial en numerosos campos.
La relevancia del teorema de Pitágoras trasciende las matemáticas puras, encontrando aplicaciones en la física, la ingeniería y la arquitectura, donde se utiliza para calcular distancias y resolver problemas de diseño. Además, su demostración ha dado lugar a una rica variedad de métodos, desde los más geométricos hasta los algebraicos, demostrando su versatilidad y profundidad. Esta diversidad de enfoques refleja la capacidad del teorema para inspirar diferentes formas de pensamiento y resolución de problemas.
El legado del teorema de Pitágoras es un testimonio de la belleza y la utilidad de las matemáticas. No solo proporciona una herramienta esencial para la comprensión de la geometría, sino que también simboliza el poder de los teoremas para conectar diferentes áreas del conocimiento. A través de su aplicación y estudio, el teorema de Pitágoras sigue siendo una fuente de inspiración y descubrimiento para matemáticos y científicos de todo el mundo.

El complejo legado del Teorema de Fermat
El último teorema de Fermat es uno de los teoremas más célebres y enigmáticos de la historia de las matemáticas. Propuesto por Pierre de Fermat en el siglo XVII, este teorema afirma que no existen tres números enteros positivos x, y y z que satisfagan la ecuación x^n + y^n = z^n para cualquier número entero n mayor que 2. Fermat dejó una nota en el margen de un libro diciendo que tenía una "demostración verdaderamente maravillosa" de este teorema, pero nunca la escribió. Durante más de 350 años, esta afirmación intrigó a matemáticos de todo el mundo.
La solución al último teorema de Fermat llegó en 1994, cuando el matemático británico Andrew Wiles, tras años de trabajo en secreto, presentó una demostración que utilizaba conceptos avanzados de la teoría de números y geometría algebraica. La historia de este teorema y su eventual demostración no solo es un hito en las matemáticas, sino también una narración de perseverancia y dedicación. La solución de Wiles es un ejemplo de cómo los teoremas pueden conectar diferentes áreas del conocimiento matemático, llevando a avances significativos en el campo.
El impacto del último teorema de Fermat va más allá de su resolución. Ha inspirado una gran cantidad de investigación en teoría de números y ha llevado al desarrollo de nuevas técnicas y teorías. Este teorema es un recordatorio del poder de los problemas matemáticos para desafiar y motivar a generaciones de matemáticos, demostrando cómo una simple conjetura puede tener un legado duradero y transformador en el mundo de las matemáticas.

Impacto del Teorema de incompletitud de Gödel en lógica
El teorema de incompletitud de Gödel, formulado por Kurt Gödel en 1931, es uno de los resultados más profundos y sorprendentes en la lógica matemática. Este teorema establece que en cualquier sistema lógico suficientemente poderoso como para incluir la aritmética básica, existen proposiciones que no pueden ser ni demostradas ni refutadas dentro de ese sistema. En otras palabras, siempre habrá verdades matemáticas que no pueden ser probadas utilizando los axiomas y reglas del propio sistema.
El impacto del teorema de Gödel fue revolucionario, ya que desafió la visión de que las matemáticas podrían ser completamente formalizadas y comprendidas a través de un conjunto finito de axiomas. Su resultado mostró que la búsqueda de un sistema matemático completo y consistente es, en última instancia, inalcanzable. Esto tuvo profundas implicaciones no solo en matemáticas, sino también en filosofía, informática y teoría del conocimiento, cuestionando la naturaleza misma de la verdad matemática.
El teorema de incompletitud de Gödel ha influido en la forma en que los matemáticos y filósofos entienden los límites del conocimiento formal. Ha llevado a un mayor aprecio por la complejidad y la riqueza de las matemáticas, mostrando que incluso en un campo tan riguroso y estructurado, siempre habrá espacio para la incertidumbre y el misterio. Este teorema continúa siendo un tema de estudio y reflexión, inspirando nuevas investigaciones en lógica y teoría de la computación.

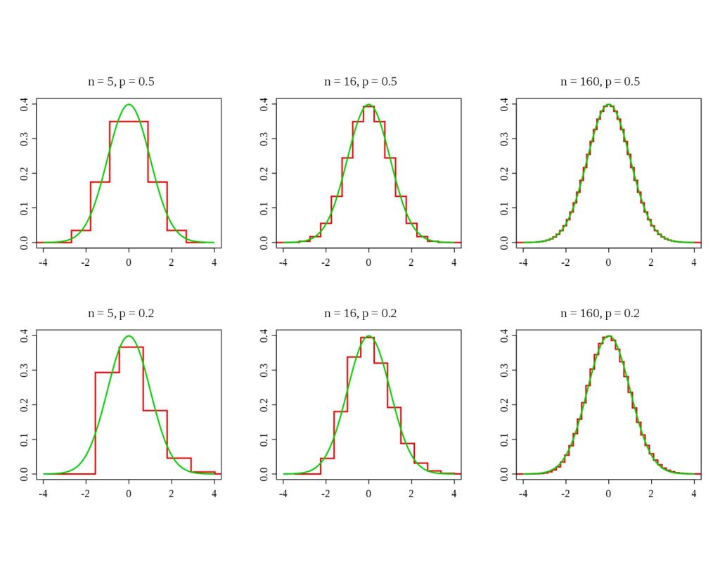
Teorema central del límite en estadística
El teorema central del límite es un concepto fundamental en estadística que describe cómo, bajo ciertas condiciones, la suma de un gran número de variables aleatorias independientes y con la misma distribución tiende a seguir una distribución normal. Este fenómeno es notable porque se aplica independientemente de la forma de la distribución original de las variables, siempre y cuando tengan una varianza finita. A medida que el tamaño de la muestra aumenta, la distribución de la suma se aproxima a una distribución normal, también conocida como curva de campana.
Este teorema es crucial en el análisis estadístico porque permite a los estadísticos hacer inferencias sobre poblaciones a partir de muestras. Proporciona una base teórica para el uso de la distribución normal en una amplia variedad de situaciones, desde la estimación de parámetros hasta la prueba de hipótesis. El teorema central del límite es una herramienta poderosa que simplifica el análisis de datos complejos, permitiendo a los investigadores aplicar métodos estadísticos estándar incluso cuando las distribuciones originales son desconocidas o no normales.
La importancia del teorema central del límite se extiende más allá de la estadística, afectando áreas como la economía, la biología y la ingeniería, donde el análisis de datos es esencial. Su capacidad para aproximar distribuciones complejas mediante la distribución normal facilita la modelización y la predicción en diversos contextos. Este teorema es un ejemplo claro de cómo los teoremas matemáticos pueden tener aplicaciones prácticas significativas, mejorando nuestra comprensión y capacidad para tomar decisiones basadas en datos.

Distribución de primos según el Teorema de los números primos
El teorema de los números primos es un resultado fundamental en la teoría de números que describe la distribución asintótica de los números primos entre los números naturales. Este teorema establece que, a medida que se consideran números cada vez más grandes, la densidad relativa de números primos disminuye. En términos más formales, el teorema de los números primos proporciona una aproximación para contar cuántos números primos hay menores que un número dado, utilizando la función logarítmica.
La intuición detrás de este teorema es que, aunque los números primos son infinitos, se vuelven menos frecuentes a medida que se avanza en la secuencia de números naturales. Este comportamiento ha sido estudiado durante siglos, y el teorema de los números primos formaliza esta observación. Su demostración, lograda por primera vez de manera independiente por Jacques Hadamard y Charles-Jean de la Vallée Poussin en 1896, utiliza técnicas avanzadas de análisis complejo y ha sido fundamental para el desarrollo de la teoría de números.
El teorema de los números primos tiene implicaciones profundas en la criptografía y en la comprensión de las propiedades de los números primos. Su capacidad para describir la distribución de estos números fundamentales ha llevado a avances significativos en la teoría de números y ha inspirado una gran cantidad de investigación en el campo. Este teorema es un ejemplo de cómo las matemáticas pueden revelar patrones y estructuras ocultas en el mundo de los números, proporcionando una visión más profunda de su naturaleza intrínseca.

Teoremas en el contexto de las ciencias exactas y formales
Relación entre teoremas y otras ciencias
Los teoremas matemáticos no solo son fundamentales en el ámbito de las matemáticas puras, sino que también desempeñan un papel crucial en otras ciencias exactas y formales. En física, por ejemplo, los teoremas proporcionan una base teórica para entender fenómenos naturales y formular leyes universales. Un ejemplo clásico es el teorema de Noether, que establece una conexión entre simetrías y leyes de conservación, siendo esencial para la física teórica y la comprensión de las leyes fundamentales del universo.
En economía, los teoremas matemáticos se utilizan para modelar comportamientos y fenómenos complejos. El teorema del votante mediano, por ejemplo, es una herramienta clave en la teoría de la elección pública, proporcionando una comprensión matemática de cómo se toman las decisiones colectivas en sistemas democráticos. Estos ejemplos ilustran cómo los teoremas pueden ser adaptados y aplicados a diferentes contextos, ofreciendo soluciones y modelos que ayudan a explicar y predecir el comportamiento de sistemas complejos.
La relación entre teoremas y otras ciencias también se extiende a la informática, donde los teoremas son fundamentales para el desarrollo de algoritmos y la teoría de la computación. El teorema de la incompletitud de Gödel, por ejemplo, ha influido en la comprensión de los límites de la computabilidad y la inteligencia artificial. Así, los teoremas matemáticos actúan como puentes entre disciplinas, facilitando el intercambio de ideas y metodologías que enriquecen el conocimiento científico en su conjunto.
Adaptación del concepto de teorema en otras disciplinas
El concepto de teorema, aunque originado en el ámbito matemático, ha sido adaptado y utilizado en diversas disciplinas para formalizar y estructurar el conocimiento. En psicología, por ejemplo, se utilizan teoremas para desarrollar modelos teóricos que explican el comportamiento humano y los procesos cognitivos. Estos modelos, aunque no siempre tienen la misma rigidez demostrativa que los teoremas matemáticos, siguen principios lógicos y buscan establecer relaciones causales y predictivas.
En biología, los teoremas se emplean para formular teorías sobre la evolución y la genética. Aunque la naturaleza de las ciencias biológicas no siempre permite demostraciones tan rigurosas como en matemáticas, el uso de teoremas y modelos teóricos proporciona un marco para entender la complejidad de los sistemas biológicos y sus interacciones. Esta adaptación del concepto de teorema refleja la flexibilidad y la utilidad de este enfoque lógico en la organización y el avance del conocimiento científico.
La adaptación del concepto de teorema en otras disciplinas subraya su importancia como herramienta de pensamiento crítico y análisis. Al proporcionar un marco lógico para la formulación y prueba de hipótesis, los teoremas permiten a los científicos de diferentes campos estructurar sus investigaciones de manera coherente y sistemática. Esta capacidad para cruzar fronteras disciplinarias y fomentar la colaboración interdisciplinaria es uno de los legados más valiosos de los teoremas matemáticos en el mundo del conocimiento científico.
Referencias
- Loyes, C. C. (1993). La matemática: creación y descubrimiento(Vol. 52). Universidad Pontificia Comillas.
- Nagel, E., & Newman, J. R. (1981). El teorema de Gódel. Consejo Nacional de Ciencia y Tecnologia.
- Singh, S., Santos, B. R., & Paenza, A. (1999). O último teorema de Fermat. Bogotá: Editorial Norma.